Compuertas lógicas: la base fundamental de la arquitectura de computadoras.
Las compuertas lógicas son componentes esenciales en la arquitectura de computadoras, se ocupan en las operaciones básicas de la lógica o álgebra booleana. Mismas que son vitales para el funcionamiento de cualquier sistema digital, abarcando desde simples calculadoras hasta dispositivos más complejos. A continuación, explicaremos qué son las compuertas lógicas, cómo funcionan y por qué son importantes en la arquitectura de computadoras.
¿QUÉ SON LAS COMPUERTAS LÓGICAS?
Son dispositivos electrónicos que realizan operaciones lógicas sobre una o más señales binarias, representan valores de verdad: verdadero (1) ó falso (0). Operaciones básicas mismas que incluyen las compuertas lógicas AND, OR, NOT, XOR, NAND y NOR. Cada una tiene su propia tabla de verdad, mostrando todas las posibles combinaciones de entradas y sus correspondientes salidas.
TIPOS DE COMPUERTAS LÓGICAS:
1. Compuerta AND (74LS08):
Genera una salida verdadera (1) únicamente cuando todas sus entradas son verdaderas, es decir, tienen un valor de (1). Su símbolo lógico es “∧” y su tabla de verdad es la siguiente:
| A | B | Salida |
| 0 | 0 | 0 |
| 0 | 1 | 0 |
| A | B | Salida |
| 1 | 0 | 0 |
| 1 | 1 | 1 |
2. Compuerta OR (74LS32):
Genera una salida verdadera (1) cuando al menos una de sus entradas sea verdadera (1). Su símbolo lógico es “∨” y su tabla de verdad es la siguiente:
| A | B | Salida |
| 0 | 0 | 0 |
| 0 | 1 | 1 |
| 1 | 0 | 1 |
| 1 | 1 | 1 |
3. Compuerta NOT (74LS04):
Invierte su entrada; es decir, si la entrada es 0, genera una salida de 1, y viceversa. Su símbolo lógico es “¬” y su tabla de verdad es la siguiente:
| A | Salida |
| 0 | 1 |
| 1 | 0 |
4. Compuerta XOR (74LS86):
Genera una salida verdadera (1) si las entradas son diferentes y falsa (0) si son iguales. Su símbolo lógico es “⊕” y su tabla de verdad es la siguiente:
| A | B | Salida |
| 0 | 0 | 0 |
| 0 | 1 | 1 |
| 1 | 0 | 1 |
| 1 | 1 | 0 |
5. Compuerta NAND (74LS00):
Es la negación de la compuerta AND. Genera una salida verdadera (1) cuando al menos una de las entradas es falsa (0). Su símbolo lógico es “⊼” y su tabla de verdad es la siguiente:
| A | B | Salida |
| 0 | 0 | 1 |
| 0 | 1 | 1 |
| 1 | 0 | 1 |
| 1 | 1 | 0 |
6. Compuerta NOR (74LS02):
Es la negación de la compuerta OR. Genera una salida verdadera (1) cuando todas las entradas son falsas (0). Su símbolo lógico es “⊽” y su tabla de verdad es la siguiente:
| A | B | Salida |
| 0 | 0 | 1 |
| 0 | 1 | 0 |
| 1 | 0 | 0 |
| 1 | 1 | 0 |
IMPLEMENTACIÓN Y FUNCIONAMIENTO.
Como ya se mencionó anteriormente, las compuertas lógicas nos sirven para realizar operaciones lógicas básicas. Esto mediante el uso de componentes como transistores y diodos. Por ejemplo, una compuerta AND se construye utilizando dos transistores en serie: si ambas entradas están activadas, la salida es activada. Una compuerta OR se construye con transistores en paralelo: si al menos una entrada está activada, la salida es activada. La compuerta NOT invierte la entrada utilizando un transistor en configuración de interruptor abierto. Al combinar las compuertas se pueden realizar circuitos digitales que realicen operaciones lógico-aritméticas.
Los circuitos digitales están formados por interconexiones de compuertas lógicas, dichas que se encargan de determinar cómo las señales se esparcen a través del circuito y cómo se pueden combinar para generar resultados más complejos.
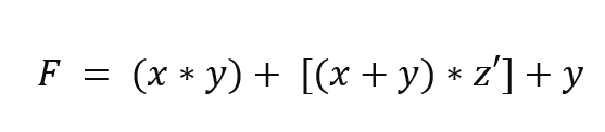
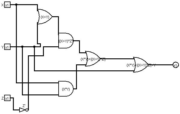
EJEMPLO PRÁCTICO 1.


Como se puede observar en el diagrama anterior, se utilizaron 3 compuertas OR, 2 compuertas AND y una compuerta NOT, recordando que una compuerta OR realiza una operación aritmética de suma, la compuerta AND realiza una multiplicación y la NOT es un inversor de valores, su tabla de verdad se vería de la siguiente manera:
| X | Y | Z | F |
| 0 | 0 | 0 | 0 |
| 0 | 0 | 1 | 0 |
| 0 | 1 | 0 | 1 |
| 0 | 1 | 1 | 1 |
| 1 | 0 | 0 | 1 |
| 1 | 0 | 1 | 0 |
| 1 | 1 | 0 | 1 |
| 1 | 1 | 1 | 1 |
Utilizando las compuertas lógicas TTL 74LS08 (AND de 2 entradas), 74LS32 (OR de 2 entradas) y 74LS04(NOT), se obtiene el siguiente circuito:

EJEMPLO PRÁCTICO 2


Para este ejemplo se puede observar que se tienen 3 sumas, 4 multiplicaciones y 2 negaciones, para ambos bloques se tienen las 3 operaciones, sin embargo se puede observar que se pueden reusar ciertas operaciones como la suma entre w y x, al realizar las conexiones correspondientes en el programa pudimos obtener la tabla de verdad, que es la siguiente:
| w | x | y | z | F |
| 0 | 0 | 0 | 0 | 0 |
| 0 | 0 | 0 | 1 | 1 |
| 0 | 0 | 1 | 0 | 1 |
| 0 | 0 | 1 | 1 | 1 |
| 0 | 1 | 0 | 0 | 0 |
| 0 | 1 | 0 | 1 | 1 |
| 0 | 1 | 1 | 0 | 0 |
| 0 | 1 | 1 | 1 | 0 |
| 1 | 0 | 0 | 0 | 0 |
| 1 | 0 | 0 | 1 | 1 |
| 1 | 0 | 1 | 0 | 0 |
| 1 | 0 | 1 | 1 | 0 |
| 1 | 1 | 0 | 0 | 0 |
| 1 | 1 | 0 | 1 | 1 |
| 1 | 1 | 1 | 0 | 0 |
| 1 | 1 | 1 | 1 | 0 |
Al igual que en el otro ejemplo se realizó el armado del circuito con las mismas compuertas (AND, OR, NOT), obteniendo lo siguiente:

ARQUITECTURA DE COMPUTADORAS:
Actualmente es un tema muy amplio, el cual ha ido evolucionando con el paso del tiempo por lo que cada vez implica ámbitos más complejos. La arquitectura de un computador es: aquello que lo compone, el control de todos los componentes del hardware y la realización de todos los procesos del software y de las aplicaciones dentro de la computadora.
IMPACTO EN LA SOCIEDAD Y EN LA TECNOLOGÍA:
Las compuertas lógicas han sido fundamentales en el desarrollo de la informática moderna, dado a que han impulsado avances en diversas áreas, como la inteligencia artificial, el aprendizaje automático, la robótica, permitiendo también la creación de computadoras personales, mejorar la comunicación, el entretenimiento, el ámbito médico o laboral.
Se pueden encontrar en un sistema de monitoreo, control de pacientes, industrias, sistemas de automatización, las compuertas lógicas han tenido un impacto significativo en el ámbito de la sociedad y la tecnología, contribuyendo en los avances que se desarrollan día a día, permitiendo la evolución de la civilización. Dado a que la eficiencia de las computadoras ha ido en aumento conforme con la tecnología de semiconductores, se ha podido minimizar el tamaño de los circuitos integrados.
Las compuertas lógicas también se encuentran presentes en:
- Revolución digital: Son bloques de construcción básicos de los circuitos digitales, son fundamentales en la evolución digital permitiendo el desarrollo de dispositivos electrónicos avanzados como computadoras, teléfonos inteligentes, dispositivos IoT (Internet de las cosas).
- Avance tecnológico: El desarrollo y la mejora han impulsado avances significativos en la tecnología, por lo que la reducción del tamaño de las compuertas lógicas lleva consigo a la creación de chips integrados más potentes y eficientes, mismo que permite el desarrollo de dispositivos más compactos y potentes.
- Informática moderna: En este ámbito son sumamente importantes para la realización de operaciones de lógica booleana, son la base del procesamiento de información en sistemas digitales.
- Automatización: Las compuertas lógicas en sistemas de automatización como en la industria manufacturera, el control de procesos, la domótica y la robótica. Permiten el diseño de circuitos que pueden tomar decisiones lógicas y realizar acciones en consecuencia.
- Educación: El estudio de las compuertas lógicas es una parte fundamental de la educación en ingeniería eléctrica, electrónica y computacional, comprender cómo funcionan y cómo se pueden combinar para realizar diversas funciones lógicas es importante para cualquier persona que trabaje en campos relacionados con la tecnología digital.
- Innovación continua: A medida que la tecnología avanza también lo hacen las compuertas lógicas y constantemente se están desarrollando nuevas técnicas y tecnologías para mejorar la eficiencia, la velocidad y la fiabilidad de estas, lo que impulsa aún más la innovación en la electrónica y la computación.
IMPORTANCIA EN LA ARQUITECTURA DE COMPUTADORAS:
Las compuertas lógicas son componentes esenciales en la arquitectura de las computadoras modernas, se utilizan para construir circuitos electrónicos que ejecutan diversas funciones lógicas desde operaciones aritméticas como suma, resta y multiplicación, hasta la ejecución de instrucciones complejas como la comparación de datos y el control de flujo dentro de un sistema computacional.
Estos circuitos lógicos se integran en componentes más grandes como la Unidad Central de Procesamiento (CPU) que es el cerebro de la computadora y ejecuta las instrucciones del programa, la unidad de control, que gestiona y coordina las operaciones de la CPU y la Unidad Lógica Aritmética (ULA), que realiza operaciones matemáticas y lógicas básicas.
Autoras.
Estudiantes de la carrera de ingeniería en informática en el Tecnológico de Estudios Superiores de Chalco.

- Flores Pacheco Angélica Jazmín.
- Liñán González Alexia Valentina.
- Sánchez Romero Yasmin.
Contacto.